Soi Cầu XSMT 11-08-2025 Dự Đoán Miền Trung Chốt Số XSMT Thứ 2

Soi cầu XSMT 11-08-2025 - Chào mừng anh em đến với soi cầu nhiều niềm vui ngày hôm nay đài Huế, Phú Yên. Chúc anh em có một ngày thật may mắn và nhiều niềm vui với con bạch thủ lô vip và song thủ lô vip của trang. Có các gói cược hấp dẫn mới cập nhật cho anh em chọn lựa tại tinycat. Mời anh em bắt đâu bài viết nhé. 

 soi cầu xsmt 11 08 2025, soi cầu mt 04/08/2025, dự đoán xsmt 11-08-2025, btl mt 11 08 2025, dự đoán miền trung 11/08/2025, chốt số mt 11-08-2025, soi cau mien trung 11-08-2025 

Soi cầu xsmt dự đoán kqxsmt chính xác nhất 11-08-2025

AD gửi anh em số VÍP, anh em nhanh tay tham khảo soi cầu mt 11-08-2025 hôm nay để bắt ngay cầu lô hôm nay để có cơ hội vào bờ nhé.

Có nên xem soi cầu xsmt 11-08-2025 tại tinycat99?

Việc dự đoán soi cầu Xổ Số Miền Trung tại Tinycat99  là quy trình khép kín được các ad tính toán và chốt số dựa trên kinh nghiệm lâu năm cày bừa vật lộn với xổ số miền trung, và nhiều phương pháp soi cầu lô tổng hợp. Dựa trên cơ sở này và thống kê xổ số miền Trung hằng ngày để đưa ra số đẹp cho anh em lựa chọn.

Vì vậy nên tỷ lệ trúng cầu khi Tinycat99 dự đoán là khá cao. Anh em có thể tham khảo được. Lưu ý vốn là của anh em quyết định nên anh em khi đã chơi thì đừng quá tay nhé, ad quá kinh nghiệm trong việc này rồi.

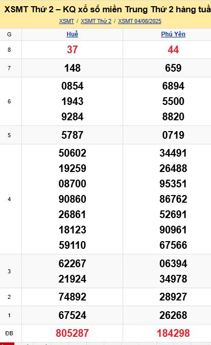
Xem lại Thống kê kết quả XSMT thứ 2 tuần trước

Để dự đoán cầu miền trung cho ngày mới, mời anh em xem lại kqxsmt tuần vừa rồi nhé.

 soi cầu xsmt 11 08 2025, soi cầu mt 04/08/2025, dự đoán xsmt 11-08-2025, btl mt 11 08 2025, dự đoán miền trung 11/08/2025, chốt số mt 11-08-2025, soi cau mien trung 11-08-2025 

Kqxsmt kỳ quay trước thứ 2

Soi cầu XSMT hôm nay 11-08-2025

Dựa vào thông tin kết quả xổ số tuần trước cùng các dữ liệu từ phần mềm thống kê kết quả XSMT trong 30 ngày liên tục, các chuyên gia soi cầu xsmt của tinycat99 đã tìm và lựa chọn ra được các cầu số đạt đỉnh cao nhất, có khả năng về giải lên tới hơn 90% để anh em cùng tham khảo.

Soi cầu xsmt 11-08-2025 đài Huế

Thống kê cầu XSTTH hôm nay

Anh em tham khảo ngày cầu chạy và số đẹp tương ứng nhé.

Biên độ 6 ngày: .

Biên độ 5 ngày: .

Biên độ 4 ngày: 03 09 11 31

Biên độ 3 ngày: 06 16 17 18 26 36 37 38 46 48 51 56 57 71 78 93

Cầu XSMT Huế: Lô gan lâu chưa về

Lo ganLần chưa vềVề gần nhấtGan cực đại
4124 lần18/05/202524 lần
7121 lần26/05/202526 lần
0319 lần02/06/202526 lần
2717 lần09/06/202523 lần
4616 lần15/06/202554 lần
5516 lần15/06/202525 lần
3214 lần22/06/202524 lần
4214 lần22/06/202526 lần
5814 lần22/06/202530 lần
8114 lần22/06/202537 lần

Lô hay về soi cầu xsmt Thừa Thiên Huế

Giải ĐBXuất hiệnLotoXuất hiệnGiải 8Xuất hiện
342 lượt8214 lượt542 lượt
432 lượt1910 lượt522 lượt
742 lượt2310 lượt172 lượt
761 lượt009 lượt62 lượt
771 lượt159 lượt961 lượt
821 lượt179 lượt931 lượt
861 lượt439 lượt901 lượt
871 lượt569 lượt891 lượt
921 lượt849 lượt861 lượt
951 lượt769 lượt791 lượt

Cầu đẹp miền trung 11-08-2025 đài Thừa Thiên Huế 

 soi cầu xsmt 11 08 2025, soi cầu mt 04/08/2025, dự đoán xsmt 11-08-2025, btl mt 11 08 2025, dự đoán miền trung 11/08/2025, chốt số mt 11-08-2025, soi cau mien trung 11-08-2025

Cầu đẹp XSTTH

Soi cầu xsmt 11/08/2025 - XSMT XSTTH.  Ad tinycat99 nhận định soi cầu miền trung XS Thừa Thiên Huế hôm nay, lấy cầu giải 2 ghép với cầu giải ĐB được cặp 30 - 03 cho xsmt hôm nay cực ổn.

Dự đoán cầu đẹp MT Huế 11-08-2025

  • Soi cầu song thủ: 14 21
  • Soi cầu kép VIP: 00 11
  • Bao lô 2 số: 27 73

Soi cầu xsmt Tinycat99 11-08-2025 - Phú Yên

Thống kê cầu XSMT XSPY hôm nay

Anh em tham khảo số ngày cầu chạy theo biên độ và con số tương ứng của ngày cầu chạy nhé.

Biên độ 6 ngày: .

Biên độ 5 ngày: 50

Biên độ 4 ngày: 38 56 89

Biên độ 3 ngày: 06 28 36 63 85 86 96

Cầu XSMT Phú Yên: Lô gan lâu chưa về

Lo ganLần chưa vềVề gần nhấtGan cực đại
3521 lần10/03/202523 lần
0718 lần31/03/202531 lần
0616 lần14/04/202534 lần
7916 lần14/04/202533 lần
1215 lần21/04/202538 lần
0214 lần28/04/202530 lần
1713 lần05/05/202535 lần
4813 lần05/05/202516 lần
5212 lần12/05/202544 lần
5712 lần12/05/202523 lần

Soi cầu XSMT Phú Yên Lô và Đề Về Nhiều

Giải ĐBXuất hiệnLotoXuất hiệnGiải 8Xuất hiện
033 lượt3012 lượt502 lượt
662 lượt1810 lượt961 lượt
701 lượt3810 lượt951 lượt
711 lượt329 lượt921 lượt
721 lượt339 lượt871 lượt
801 lượt119 lượt841 lượt
811 lượt949 lượt831 lượt
861 lượt998 lượt821 lượt
881 lượt808 lượt801 lượt
961 lượt848 lượt751 lượt

Cầu đẹp xsmt XS Phú Yên 11-08-2025

 soi cầu xsmt 11 08 2025, soi cầu mt 04/08/2025, dự đoán xsmt 11-08-2025, btl mt 11 08 2025, dự đoán miền trung 11/08/2025, chốt số mt 11-08-2025, soi cau mien trung 11-08-2025

Cầu đề đẹp XSPY

Theo cầu đẹp như trên hình mà ad đã soi từ Giải 6 Giải 4, thì nhà đài Phú Yên theo cầu ad dự đoán tỉ lệ này sẽ về cặp lô: 98 - 89

Dự đoán lô kép Phú Yên VIP về lô: 22 88

Xổ số miền trung phuyen dự đoán song thủ lô về: 45 52

Soi cau Phu Yen chuẩn sẽ về được các con lô như sau: 80 08

Chốt Số Soi Cầu XSMT Chính Xác Nhất 11-08-2025

Chốt số XSMT Huế

Bạch thủ lô: 30

Song Thủ lô: 14 41

Xỉu chủ 327 073

Chốt Số XSMT Phú Yên

Bạch thủ lô: 98

Song Thủ lô: 80 08

Xỉu chủ 945 852

Làm thế nào để có thể tham gia lô đề online nhận chốt số xsmt cùng Tinycat99 nhận khuyến mãi khủng???

mũi tênChỉ cần 4 bước đơn giản để nhận bộ quà tặng trị giá 100 TRIỆU khi đăng ký Tinycat99! AE đã thử chưa?

  • Bước 1 : Đăng ký tham ngay tại đây. Lưu ý: Đăng ký miễn phí. Link đã được đính kèm mã khuyến mãi cho anh em. Anh em nào chưa hiểu rõ có thể xem hướng dẫn đăng ký Tinycat99
  • Bước 2: Tham gia chơi ngay, chọn những trò chơi thế mạnh của mình để chơi nhé. Đặc Biệt: Lô Đề Online Tinycat99 1 ăn 99.5 đảm bảo cao nhất Việt Nam
  • Bước 3: Theo dõi KQSX hàng ngày tại tinycat99.
  • Bước 4: Có cơ hội nhận được quà tặng hấp dẫn như xe Vespa, SH, ipad đời mới, Iphone XS Max Pro, kim cương, hột xoàn... đặc biệt tiền trúng thưởng sẽ được rút ngay nhanh chóng, uy tín nhất.

dangky

tinycat99 là một web cá cược online uy tín, đặc biệt là đánh lô đề online uy tín có mức trúng cao đặc biệt, đặt địa chỉ trụ sở tại Philippines. Tại Tinycat99 bạn sẽ được thanh toán rút nạp tiền rất nhanh và bảo mật thông tin khách hàng cực kỳ tốt. Lượng khách hàng chơi tại Tinycat99 ngày càng đông, ad Tinycat99 nhận không ít các vấn đề cần hỗ trợ từ khách hàng.

Hãy truy cập tinycat99 ngay, đăng kí tài khoản và trải nghiệm những trò chơi cá cược online hấp dẫn nhất với tỉ lệ đổi thưởng cao nhất hiện nay. Không chỉ là chơi lô đề, xóc đĩa, tài xỉu đơn thuần. tất cả các kèo cá cược bóng đá online, cá độ thể thao trực tuyến, kèo bóng đá Châu Á, Châu Âu đều được cập nhật mới từng giây. Bạn có thể tha hồ đặt cược vào bất cứ thời gian nào chỉ bằng vài cú click chuột đơn giản quan màn hình smartphone hoặc laptop cá nhân và theo dõi diễn biến trò chơi thật như khi bạn trực tiếp ngồi tại casino.

Tổng Kết

Soi cầu XSMT 11-08-2025 dự đoán miền trung chính xác hôm nay cuối cùng thì ad đã chốt xong. Chúc anh em may mắn và nhớ quay trở lại để bàn luận cùng với ad nhé! Anh em nào có ý kiến hãy để lại bên dưới ad sẽ hỗ trợ ngay! Ad cám ơn anh em đã ủng hộ.

Ngoài ra, ad cũng có dự đoán soi cầu của hai miền còn lại là miền bắc và miền nam, kính mời anh em tham khảo nhé.

cực hot<<< Xem dự đoán hôm nay Soi cầu Miền Nam >>>

cực hot<<< Xem dự đoán hôm nay Soi Cầu Miền Bắc >>>

Bài viết nên xem

Tin liên quan

Bình Luận

    Để lại Bình Luận của bạn

    © 2026 tinycat99.delivery. All Rights Reserved.

    Link Đăng ký tinycat99